| 業務中心: | 0371-55696552 18037153049 |
您的當前位置:魯班培訓-一建培訓,二建培訓,監理,注冊安全工程師等 > 復習備考 > 備考指南 >
二級建造師每日一練(11.6)

B、多個起點節點
C、工作代號重復
D、不符合給定邏輯關系
E、節點編號有誤
向下滑動查看參考答案
↓
↓↓
↓↓↓↓
答案:BDE
解析:有①、②兩個起點,G的緊后工作為I和J,節點編號⑥指向節點⑤,圖有誤。

B、工作B
C、工作C
D、工作D
E、工作G
向下滑動查看參考答案
↓
↓↓
↓↓↓↓
答案:BDE
解析:工作A的緊后工作有BDG。

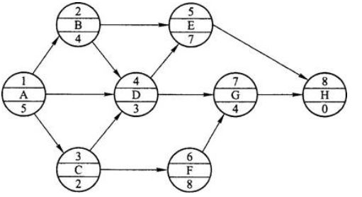
B、1-2-5-8
C、1-3-4-5-8
D、1-3-4-7-8
E、1-3-6-7-8
向下滑動查看參考答案
↓
↓↓
↓↓↓↓
答案:AE
解析:在上述所列各選項中,單代號網絡計劃線路長度分別為19天,16天,12天,14天,19天,故A、E選項所列線路持續時間最長,1-2-4-5-8和1-3-6-7-8為關鍵線路。故選項A、E正確。
B、由于王某不能勝任工作,甲公司應提前30日通知王某,解除勞動合同
C、甲公司可以支付王某一個月工資后解除勞動合同
D、由于王某在懷孕期間,所以甲公司不得解除勞動合同
向下滑動查看參考答案
↓
↓↓
↓↓↓↓
答案:D
解析:本題考查的是勞動合同的解除和終止。根據《勞動合同法》第四十二條的規定,女職工在孕期、產期、哺乳期的,用人單位不得解除勞動合同。故D正確。
B、用人單位甲與勞動者乙約定,社會保險由勞動者自行繳納
C、用人單位甲與勞動者乙簽訂的勞動合同中缺少勞動保護條款
D、用人單位甲與勞動者乙簽訂的勞動合同沒有約定違約金
E、用人單位甲與勞動者乙約定,發生工傷,單位概不負責
向下滑動查看參考答案
↓
↓↓
↓↓↓↓
答案:ABCE
解析:本題考查的是勞動合同的生效與無效。下列勞動合同無效或者部分無效:
(1)以欺詐、脅迫的手段或者乘人之危,使對方在違背真實意思的情況下訂立或者變更勞動合同的;
(2)用人單位免除自己的法定責任、排除勞動者權利的;
(3)違反法律、行政法規強制性規定的。對于部分無效的勞動合同,只要不影響其他部分效力的,其他部分仍然有效。
B、嚴重違反勞動紀律或者用人單位規章制度的
C、勞動者不能勝任工作,經過培訓或者調整工作崗位,仍不能勝任工作的
D、勞動者患病或者非因工負傷,醫療期滿后,不能從事原工作也不能從事由用人單位另行安排工作的
E、在試用期間被證明不符合錄用條件的
向下滑動查看參考答案
↓
↓↓
↓↓↓↓
答案:ABE
解析:本題考查的是勞動合同的解除和終止。《勞動合同法》在賦予勞動者單方解除權的同時,也賦予用人單位對勞動合同的單方解除權,以保障用人單位的用工自主權?!秳趧雍贤ā返?9條規定,勞動者有下列情形之一的,用人單位可以解除勞動合同:
(1)在試用期間被證明不符合錄用條件的;
(2)嚴重違反用人單位的規章制度的;
(3)嚴重失職,營私舞弊,給用人單位造成重大損害的;
(4)勞動者同時與其他用人單位建立勞動關系,對完成本單位的工作任務造成嚴重影響,或者經用人單位提出,拒不改正的;
(5)因《勞動合同法》第26條第1款第1項規定的情形致使勞動合同無效的;
(6)被依法追究刑事責任的。
B、先工程量,后價值量;先絕對數,后相對數
C、先價值量,后工程量;先相對數,后絕對數
D、先工程量,后工程量,先相對數,后絕對數
向下滑動查看參考答案
↓
↓↓
↓↓↓↓
答案:B
解析:本題考查的是建筑工程成本分析。
成本分析中,因素分析法最為常用。這種方法的本質是分析各種因素對成本差異的影響,采用連環替代法。該方法首先要排序。排序的原則是:先工程量,后價值量;先絕對數,后相對數。然后逐個用實際數替代目標數,相乘后,用所得結果減替代前的結果,差數就是該替代因素對成本差異的影響。故B正確。
B、養老院
C、展覽館
D、商店
向下滑動查看參考答案
↓
↓↓
↓↓↓↓
答案:B
解析:本題考查的是民用建筑工程按控制室內環境污染物不同要求的劃分。
民用建筑工程根據控制室內環境污染的不同要求,劃分為以下兩類:1)I類民用建筑工程:住宅、居住功能公寓、老年人照料房屋設施、幼兒園、學校教室、學生宿舍等;2)Ⅱ類民用建筑工程:辦公樓、商店、旅館、文化娛樂場所、書店、圖書館、展覽館、體育館、公共交通等候室、餐廳等。故B正確,A、C、D錯誤。
B、功能不變,成本降低
C、功能降低,成本降低
D、功能提高,成本提高
E、功能降低成本不變
向下滑動查看參考答案
↓
↓↓
↓↓↓↓
答案:AB
解析:本題考查的是用價值工程控制成本的原理。
用價值工程控制成本的原理按價值工程的公式V=F/C分析,提高價值的途徑有5條:
(1)功能提高,成本不變;
(2)功能不變,成本降低;
(3)功能提高,成本降低;
(4)降低輔助功能,大幅度降低成本;
(5)成本稍有提高,大大提高功能。
其中(1)、(3)、(4)的途徑是提高價值,同時也降低成本的途徑。
故A、B正確。
B、控制范圍
C、依據
D、組成部分
向下滑動查看參考答案
↓
↓↓
↓↓↓↓
答案:B
解析:本題主要考查的是施工進度目標控制。
(1)分包單位的施工進度計劃必須依據承包單位的施工進度計劃編制。
(2)承包單位應將分包的施工進度計劃納入總進度計劃的控制范圍。
(3)總、分包之間相互協調,處理好進度執行過程中的相關關系,承包單位應協助分包單位解決施工進度控制中的相關問題。
故選B。
B、支撐
C、實施
D、階段
向下滑動查看參考答案
↓
↓↓
↓↓↓↓
答案:C
解析:本題主要考查的是實施性計劃。月、旬(周)施工進度計劃是實施性的作業計劃。
C城市道路改擴建工程,地處交通要道,拆除工作量大。建設方通過招標選擇了工程施工總承包單位和拆遷公司。由于建設工期很緊,為抓緊時間,總承包單位很快組成項目經理部,項目經理部進行了臨建,對施工現場實施封閉。開工后項目部組織人員編制了施工組織設計,其內容包括工程概況、施工技術方案、主要施工保證措施等幾個方面。編制完成后報上級審批,但上級退回要求補充完善。該施工項目部上半年施工進度報告顯示:實際完成工作量僅為計劃的1/3左右,窩工現象嚴重。
2.封閉后的施工現場入口處,按常規應設立一些什么告示牌?
3.分包方是否應制定施工進度計劃,與項目總進度計劃的關系?
4.該項目施工進度計劃應作哪些內容上的調整?
向下滑動查看參考答案
↓
↓↓
↓↓↓↓
答案:
解析:1.應完善的內容包括:(1)施工總體部署;(2)施工現場平面布置;(3)施工準備。
2. 應設立“五牌一圖”。五牌:工程概況牌、管理人員名單及監督電話牌、消防保衛牌、安全生產(無重大事故)牌、文明施工牌。一圖:施工現場總平面圖。
3.分包方應該制定施工進度計劃。與項目總進度計劃的關系為分包方的施工進度計劃必須依據總承包方的施工進度計劃編制;總承包方應將分包方的施工進度計劃納入總進度計劃的控制范圍,總、分包之間相互協調,處理好進度執行過程中的相關關系,并協助分包方解決項目進度控制中的相關問題。
4.應調整內容包括施工內容、工程量、起止時間、持續時間、工作關系、資源供應。
某工業項目建設單位通過招標與施工單位簽訂了施工合同,主要內容包括設備基礎、設備鋼架(多層)、工藝設備、工藝管道和電氣、儀表安裝等。
工程開工前,施工單位按合同約定,向建設單位提交了施工進度計劃,如下圖所示:

在施工過程中,由于建設單位要求變更設計圖紙,致使設備鋼架制作工作停工10d,(其他工作持續時間不變),建設單位及時向施工單位發出通知,要求施工單位按原計劃進場,調整進度計劃,保證該項目按原計劃工期完工。
施工單位將工藝設備調整工作的持續時間壓縮3d,得到建設單位同意,施工單位提出的費用補償要求如下,建設單位沒有全部認可。
1.工藝設備調整工作壓縮3d,增加趕工費10000元。
2.塔機閑置10d,損失費1 600元/天(含運行費300元/天)×10=16000元。
3.設備鋼架制作工作停工10d,造成其他相關機械閑置、人員窩工等損失費15000元。
2.施工單位按原計劃安排塔機在工程開工后,最早投入使用的時間是在第幾天?按原計劃設備鋼架吊裝與工藝設備吊裝工作能否連續作業?說明理由。
3.說明施工單位調整方案后能保證原計劃工期不變的理由。
4.施工單位提出的3項補償要求是否合理?計算建設單位應補償施工單位的費用。
向下滑動查看參考答案
↓
↓↓
↓↓↓↓
答案:
解析:1.關鍵路線:①→⑤→⑥→⑩→?→?,總工期191d。
2.塔機按原計劃最早投入使用的時間是開工后第37天,因為設備鋼架吊裝作業是從第37天開始的。按原計劃設備鋼架吊裝與工藝設備吊裝工作不能連續工作,因為塔機在設備鋼架吊裝完畢至工藝設備吊裝之間有7天自由時差(因為工藝設備基礎施工需要75天,第76天才能進行工藝設備吊裝,而設備鋼架吊裝在第68天就完成了,塔機在現場要閑置7天)。
3.施工單位調整計劃后能保證按原計劃工期實現。雖然設備鋼架制作由于建設單位的原因拖延了10天,但工藝設備吊裝上有7天自由時差,沖抵后,只是影響了總工期3天,可以通過壓縮后續關鍵線路上關鍵工作(工藝設備調整)的持續時間3天來達到按時完成施工任務的目的。
4.第(1)條索賠合理,因為趕工是前期停工改圖引起的,而變更圖紙是應建設單位要求的。而且施工單位趕工也征得了建設單位的同意。所以該項索賠10000元成立。
第(2)條窩工索賠費用的計算不合理。因建設單位原因引發施工單位機械設備窩工,施工單位可以就此事索賠,但機械設備使用窩工費用索賠中不應該包括運轉費,所以實際的索賠費用應該是(1600-300)×10=13000元。
第(3)條索賠合理。因為停工等圖的責任者是建設單位,它所引發的索賠應由建設單位賠償給施工單位。索賠15000元成立。
建設單位應補償施工單位的總費用=10000+13000+15000=38000(元)
注:由于該題編寫背景資料用詞不嚴謹,有歧義,所以該題有三種索賠計算方式,其一已述;
其二,可以理解為按原計劃,施工單位本來就要閑置七天,所以建設單位只賠3天費用;
其三,可以理解為施工單位在第43天開始施工,所以只影響3天工期。其二其三的賠償的費用為:10000+3X(1600-300)+15000=28900元
某機電施工單位承接一項煉油廠的塔體群安裝工程,工程內容包括:各類塔體就位、各類管道、自動控制和絕熱工程等。其中最高塔體為42m;最重塔體為102t。合同工期為三個月,合同約定:如果合同工期違約每一天應罰10000元,如每提前一天獎勵5000元。
該項目部對承建工程內容進行分析,認為工程重點應是各類塔體吊裝就位,為此制定了兩套塔體吊裝方案。第一套方案采用桅桿式起重機吊裝,經測算施工時間需要50天,勞動力日平均30人,預算日平均工資50元,機械臺班費需20萬元,其他費用25000元,另外需要新購置鋼絲繩和索具費用30000元;第二套方案采用兩臺100t汽車式起重機抬吊,但需要市場租賃,其租領費10000元/(日·臺),經測算現場共需16天,而人工費可降低70%,其他費用可降低30%。
該項目部注重項目成本各階段的控制,重點突出、吊裝方案選取得當,因此該工程項目提前8天完成全部施工任務。
2.簡述塔器設備的安裝程序。
3.該項目部應選用哪種塔體吊裝就位方案為宜?
4.試述選用方案中的起重機在使用時,應考慮哪些問題?
5.塔體群安裝施工環境必須符合哪些要求?
向下滑動查看參考答案
↓
↓↓
↓↓↓↓
答案:
解析:1.本工程項目的機電安裝工程應編制單位工程施工組織設計和專業技術施工方案,即:塔體群吊裝施工方案。
2.塔器設備安裝程序如下:
吊裝就位→找平找正→灌漿抹面→內件安裝→檢查封閉。
3.兩種方案費用計算:
第一套方案測算成本=50×30×50+200000+25000+30000=330000元
第二套方案測算成本=50×30×50×(1-70%) +10000×2×16+25000×(1-30%)=360000元
結論:第二套方案成本要高于第一套方案成本30000元。還可提前8天工期,并獲得4萬元獎勵。而且第二套方案不需要新購置30000元的鋼絲繩和索具。因此該項目部宜選第二套方案。
4.選用的是兩臺起重吊、抬吊、計算載荷時要考慮不均衡載荷和動載荷的影響,而且對吊車站位處的地基要求主要進行處理和試驗。
5.塔體群安裝施工環境必須符合要求。例如:風力達到10.8m/s(六級風),就不允許進行吊裝作業;溫度低于零下5℃,不得進行吊裝作業;空氣流速超過2m/s,不得進行二氧化碳氣保焊作業等。
某工業安裝項目通過招標,建設單位與土建施工單位和設備安裝單位分別簽訂了施工合同。設備安裝時,監理工程師發現土建單位施工的某一設備基礎預埋地腳螺栓位置與設備底座相應的尺寸不符,設備安裝單位無法將設備安裝就位,造成設備安裝單位工期延誤和費用損失。經調整,土建單位是按設計單位提供的設備基礎圖施工的,而建設單位采購的設備是設備的改型產品,基礎尺寸與原設計圖發生變化。對此,建設單位決定設計變更,按設備的實際尺寸重新預埋地腳螺栓,仍由原土建單位負責施工。土建單位與安裝單位均依據合同條款的約定提出了索賠要求。
由于基礎交付安裝單位工期已拖10d,將影響安裝單位的后續工程,因此安裝公司增加施工力量和裝備趕工,于合同要求日期完工,并向建設單位以據提出趕工索賠。
(1)案例中提出的設計變更按照變更責任方分類屬于哪種類型?對工程建設進度、人工時耗費影響應由誰來承擔?
(2)說明設計變更的管理程序和規定。
(3)土建單位施工有無過失?應向建設單位提出哪些索賠要求?
(4)闡述安裝單位向建設單位索賠的合理性與否。
向下滑動查看參考答案
↓
↓↓
↓↓↓↓
答案:
解析:1.本案例中的設計變更屬于非設計原因的變更,是因業主的原因產生的設計變更,對工程建設進度、人工時耗的影響應由業主(即建設單位)承擔。
2.設計變更的管理程序和規定如下:
(1)建設單位工程師組織總監理工程師、審計工程師論證變更是否技術可行、造價影響程度;
(2)建設單位工程師將論證結果報項目經理或總經理同意后,通知設計單位工程師,設計單位工程師認可變更方案,進行設計變更,出變更圖紙或變更說明;
(3)變更圖紙或變更說明由建設單位發至監理工程師,監理工程師發至承包商。
3.土建單位按圖施工,沒有過錯。
土建單位應向建設單位提出工期索賠及人工費、材料費、機械臺班費和利潤的索賠。
4.安裝單位在因設備基礎與設備不符及在設備重新交付安裝這段時間所產生的窩工費、機械停滯費、管理費等應向建設單位索賠,并向建設單位進行工期索賠10d。
但趕工索賠不合理,其理由是建設單位并未提出趕工要求,安裝公司趕工也未征得建設單位批準,是因自身后續任務緊而需趕工的,故這部分費用建設單位可不予支付。
B、國務院水行政主管部門
C、縣(市)人民政府
D、省、自治區、直轄市人民政府
向下滑動查看參考答案
↓
↓↓
↓↓↓↓
答案:B
解析:本題考查的是防汛抗洪的緊急措施。
國務院設立國家防汛指揮機構,負責領導、組織全國的防汛抗洪工作,其辦事機構設在國務院水行政主管部門。
B、遼河、珠江、洞庭湖、松花江
C、長江、黃河、淮河、海河
D、遼河、太湖、珠江、黑龍江
E、遼河、太湖、珠江、松花江
向下滑動查看參考答案
↓
↓↓
↓↓↓↓
答案:CE
解析:本題考查的是防汛抗洪的緊急措施。
《防洪法》上的重要江河、湖泊是指長江、黃河、淮河、海河、珠江、松花江和遼河、太湖等。
故選擇CE
B、洞室群幾個工作面同時放炮時,應有專人統一指揮
C、有瓦斯的作業區應做專項通風設計
D、洞內施工宜采用汽油機械
E、瓦斯地段施工時,照明燈具均采用防爆形式
向下滑動查看參考答案
↓
↓↓
↓↓↓↓
答案:ABCE
解析:本題考查的是《水工建筑物地下開挖工程施工技術規范》。選項D說法錯誤,應為洞內施工不應使用汽油機械,使用柴油機械時,宜加設廢氣凈化裝置。故選擇ABCE
B、主要骨干人員及施工隊伍的進場日期已經落實
C、各項施工方案和施工方法應與施工經驗和技術水平相適應
D、所需主要材料和設備的運送日期已有保證
向下滑動查看參考答案
↓
↓↓
↓↓↓↓
答案:A
解析:工期和時間安排的合理性重點審查:(1)施工總工期的安排應符合合同工期。
(2)各施工階段或單位工程(包括分部、分項工程)的施工順序和時間安排與材料和設備的進場計劃相協調。
(3)易受冰凍、低溫、炎熱、雨季等氣候影響的工程應安排在適宜的時間,并應采取有效的預防和保護措施。
(4)對動員、清場、假日及天氣影響的時間,應充分考慮并留有余地。
B、工程管理曲線
C、斜率圖
D、網絡圖
向下滑動查看參考答案
↓
↓↓
↓↓↓↓
答案:D
解析:本題考查公路工程進度計劃的主要形式。A項橫道圖只能表示出當月計劃完成的累計工程量或工作量百分數,反映不出關鍵工序和關鍵路線,不選。B項工程管理曲線不屬于主要形式,不選。C項斜率圖主要是作為公路工程投標文件中施工組織設計的附表,以反映公路工程的施工進度,不選。D項網絡圖是反映關鍵工序和關鍵路線的工程進度計劃表現形式,選D。
B、主要骨干人員及施工隊伍的進場日期已經落實
C、各項施工方案和施工方法應與施工經驗和技術水平相適應
D、對動員、清場、假日及天氣影響的時間,應有充分的考慮并留有余地
E、所需主要材料和設備的運送日期已有保證
向下滑動查看參考答案
↓
↓↓
↓↓↓↓
答案:BE
解析:施工準備的可靠性審查:(1)所需主要材料和設備的運送日期已有保證。
(2)主要骨干人員及施工隊伍的進場日期已經落實。
(3)施工測量、材料檢查及標準試驗的工作已經安排。
(4)駐地建設、進場道路及供電、供水等已經解決或已有可靠的解決方案。
- 上一篇:二級建造師每日一練(11.5)
- 下一篇:二級建造師每日一練(11.7)
鄭州




